Free Access

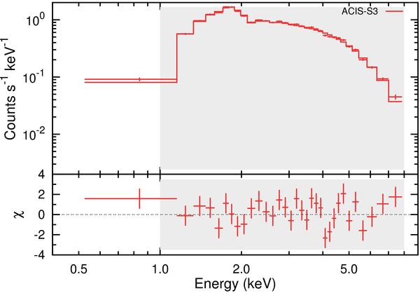
Fig. 5

thumbnail

ACIS-S3 (CS0) spectrum and the best-fit model. The upper panel shows the data (crosses) and best-fit model (solid line), while the lower panel shows the residuals to the fit. The range used for fitting is shown with grey shading. The spectrum is binned to achieve 30σ in each bin only for display.

Current usage metrics show cumulative count of Article Views (full-text article views including HTML views, PDF and ePub downloads, according to the available data) and Abstracts Views on Vision4Press platform.

Data correspond to usage on the plateform after 2015. The current usage metrics is available 48-96 hours after online publication and is updated daily on week days.

Initial download of the metrics may take a while.