Free Access

Fig. 5

thumbnail

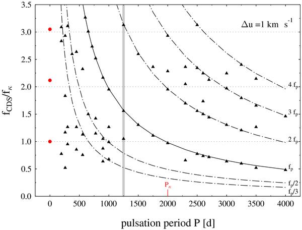
Most dominant frequencies of the CDS fCDS normalised by the eigenmode fκ = 0.51 × 10-3   d-1 (triangles), periodically excited with various stellar pulsation periods P but fixed amplitude Δu = 1.0   km   s-1, at the dust nucleation zone r ≈ 2.5   R. The set of eigenfrequencies are indicated by circles. The eigenperiod is labelled with Pκ. The excitation frequencies lie on the solid line and their harmonics on the dash-dotted lines. The grey line separates the irregular (left) from the pulsation-dominated domain (right).

Current usage metrics show cumulative count of Article Views (full-text article views including HTML views, PDF and ePub downloads, according to the available data) and Abstracts Views on Vision4Press platform.

Data correspond to usage on the plateform after 2015. The current usage metrics is available 48-96 hours after online publication and is updated daily on week days.

Initial download of the metrics may take a while.