Free Access

Fig. 3

thumbnail

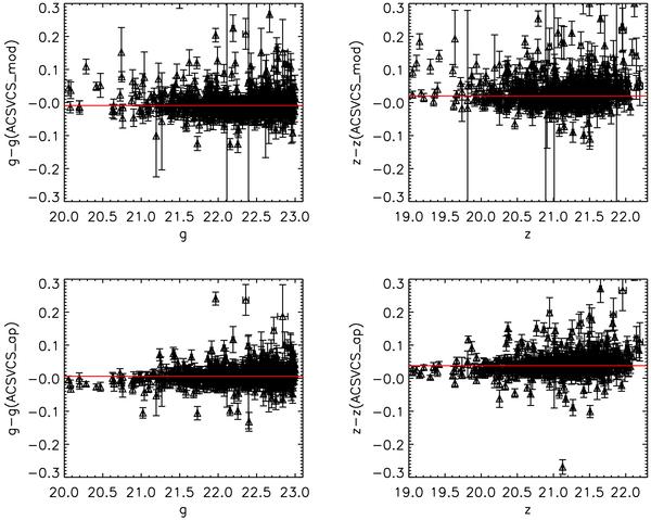
Comparison of the ACS magnitudes of the present study and those from the ACSVCS for the combined sample of NGC 4486 and NGC 4649. The solid red lines indicate the median differences. The top panels are for the model magnitudes and the bottom panels for the average correction aperture magnitudes of the ACSVCS.

Current usage metrics show cumulative count of Article Views (full-text article views including HTML views, PDF and ePub downloads, according to the available data) and Abstracts Views on Vision4Press platform.

Data correspond to usage on the plateform after 2015. The current usage metrics is available 48-96 hours after online publication and is updated daily on week days.

Initial download of the metrics may take a while.