Free Access

Fig. 11

thumbnail

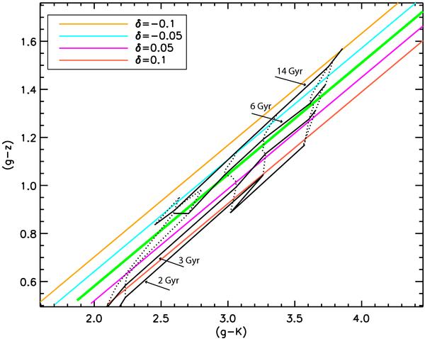
(g − K) vs. (g − z) diagrams showing lines of constant δ, according to the legend. Padova08 SSP models are over plotted as in Fig 1. The green line is the best-fit line for the joint GC systems of NGC 4486 and NGC 4649, given by relation (1).

Current usage metrics show cumulative count of Article Views (full-text article views including HTML views, PDF and ePub downloads, according to the available data) and Abstracts Views on Vision4Press platform.

Data correspond to usage on the plateform after 2015. The current usage metrics is available 48-96 hours after online publication and is updated daily on week days.

Initial download of the metrics may take a while.