Free Access

Fig. 11

thumbnail

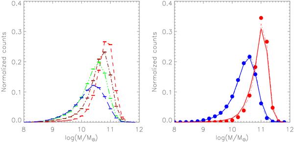
Observed distribution of masses for different morphological types computed using different estimators described in the text (see text for details). In the left panel the whole sample is shown using the probability weighting. Red short dashed line: ellipticals; yellow dashed dotted line: S0s; green dashed three dotted line: Sabs; blue long dashed line: Scds. In the right panel, we show galaxies flagged as SPIRAL and ELLIPTICAL in the galaxy zoo. Red solid lines are galaxies flagged as ellipticals in Galaxy Zoo (FLAG ELLIPTICAL = 1), red dashed line is the distribution obtained using probability weighting and red dots are galaxies with p(E) > 0.5. Blue solid lines are galaxies flagged as spirals (FLAG SPIRAL = 1) in the Galaxy Zoo, blue dashed line is the distribution obtained using probability weighting and blue dots are galaxies with p(Sab) + P(Scd) > 0.5.

Current usage metrics show cumulative count of Article Views (full-text article views including HTML views, PDF and ePub downloads, according to the available data) and Abstracts Views on Vision4Press platform.

Data correspond to usage on the plateform after 2015. The current usage metrics is available 48-96 hours after online publication and is updated daily on week days.

Initial download of the metrics may take a while.