Free Access

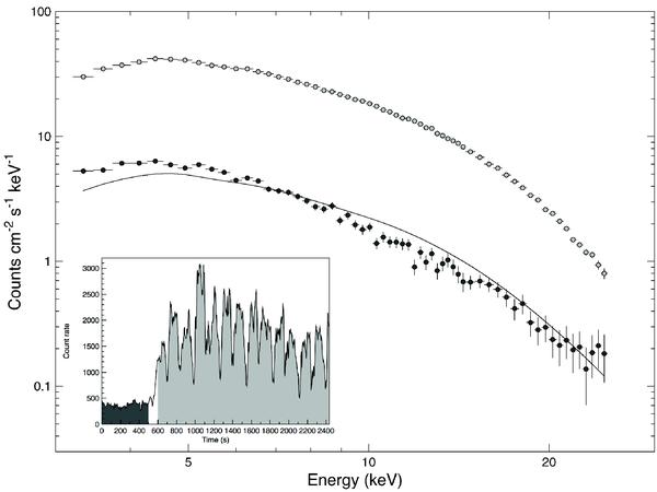
Fig. 5

thumbnail

Comparison of two X-ray spectra of Vela X-1 during the dip (filled circles, extracted from the time segment marked with dark gray in the inset) and in pulsing phase (empty circles, extracted time segment marked with light gray in the inset). The solid line is the rescaled model curve that describes the non-dip spectrum for comparison with the spectrum of the dip.

Current usage metrics show cumulative count of Article Views (full-text article views including HTML views, PDF and ePub downloads, according to the available data) and Abstracts Views on Vision4Press platform.

Data correspond to usage on the plateform after 2015. The current usage metrics is available 48-96 hours after online publication and is updated daily on week days.

Initial download of the metrics may take a while.