Free Access

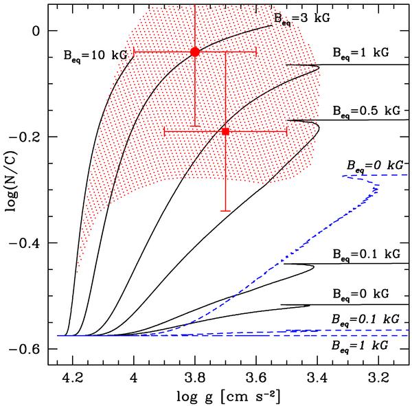
Fig. 1

thumbnail

Evolution of the N/C ratio (in number) as a function of the gravity at the surface of 10 M stellar models with υini = 200 km s-1. The value of the magnetic field is indicated. Continuous (dashed) lines are for models with interior differential (solid body) rotation. In the shaded areas, models with differential rotation predict surface velocities inferior to 50 km s-1 during the MS phase. The full circle and square correspond to HD 16582 and HD 3360 (ζ Cas) respectively (see text for references).

Current usage metrics show cumulative count of Article Views (full-text article views including HTML views, PDF and ePub downloads, according to the available data) and Abstracts Views on Vision4Press platform.

Data correspond to usage on the plateform after 2015. The current usage metrics is available 48-96 hours after online publication and is updated daily on week days.

Initial download of the metrics may take a while.