Free Access

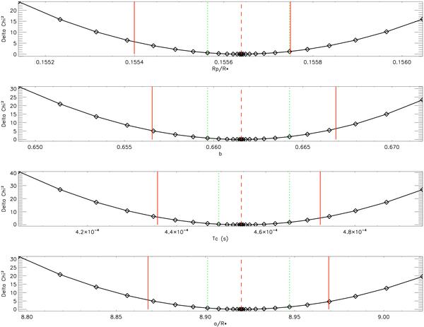
Fig. 4

thumbnail

Delta-Khi-square distribution of parameters. Vertical dashed red lines correspond to the values for the minimal Khi-square and vertical continuous red lines correspond to plus or minus 1σ extracted with the prayer bead method. Vertical dotted green lines correspond to plus or minus 1σ extracted with the Khi-square method.

Current usage metrics show cumulative count of Article Views (full-text article views including HTML views, PDF and ePub downloads, according to the available data) and Abstracts Views on Vision4Press platform.

Data correspond to usage on the plateform after 2015. The current usage metrics is available 48-96 hours after online publication and is updated daily on week days.

Initial download of the metrics may take a while.