Free Access

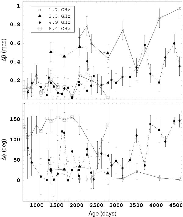
Fig. 1

thumbnail

Shifts in separation, β, and position angle, φ, of the SN 1993J shell center (using M 81* as phase calibrator) with respect to the SN 1993J position on day 1889 after explosion.

Current usage metrics show cumulative count of Article Views (full-text article views including HTML views, PDF and ePub downloads, according to the available data) and Abstracts Views on Vision4Press platform.

Data correspond to usage on the plateform after 2015. The current usage metrics is available 48-96 hours after online publication and is updated daily on week days.

Initial download of the metrics may take a while.