Free Access

Fig. 1

thumbnail

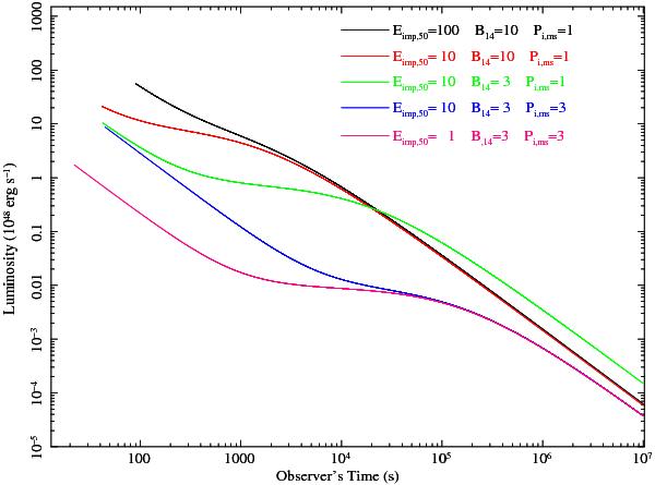
Five different theoretical (bolometric) lightcurves from the model presented here, drawn varying the initial energy of the afterglow (Eimp), the dipole magnetic field (B) and the initial spin period (Pi,ms) of the NS. All lightcurves are obtained for the same value of k′ = 0.4. The time at which each lightcurve begins is the deceleration time Td, estimated for illustration purposes simply by equating the initial energy Eimp to the rest-mass energy of swept up matter in a constant density ISM (n ≃ 1 cm-3).

Current usage metrics show cumulative count of Article Views (full-text article views including HTML views, PDF and ePub downloads, according to the available data) and Abstracts Views on Vision4Press platform.

Data correspond to usage on the plateform after 2015. The current usage metrics is available 48-96 hours after online publication and is updated daily on week days.

Initial download of the metrics may take a while.