Free Access

Fig. 6

thumbnail

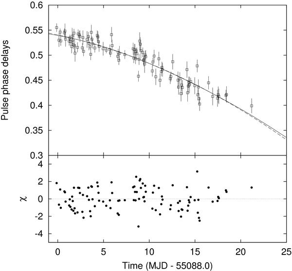
In the top panel of this figure, we report the third harmonic pulse phase delays and its best-fit curves considering a constant spin frequency derivative (dashed line) and the physical model considering the material torque proportional to the flux (continuous line). In the bottom panel, we show the residuals in units of σ with respect to the constant spin frequency derivative model.

Current usage metrics show cumulative count of Article Views (full-text article views including HTML views, PDF and ePub downloads, according to the available data) and Abstracts Views on Vision4Press platform.

Data correspond to usage on the plateform after 2015. The current usage metrics is available 48-96 hours after online publication and is updated daily on week days.

Initial download of the metrics may take a while.