Free Access

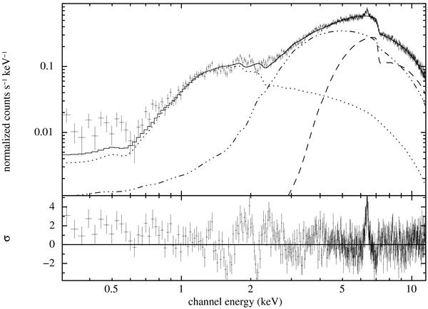
Fig. 3

thumbnail

EPIC/PN spectrum of 4U 1538−52 and X-ray continuum model. The dashed line represents the direct component, the dash-dot-dot-dot the scattered component, and the dotted line the soft component (top panel). The lower panel shows the residuals between the spectrum and the model.

Current usage metrics show cumulative count of Article Views (full-text article views including HTML views, PDF and ePub downloads, according to the available data) and Abstracts Views on Vision4Press platform.

Data correspond to usage on the plateform after 2015. The current usage metrics is available 48-96 hours after online publication and is updated daily on week days.

Initial download of the metrics may take a while.