Free Access

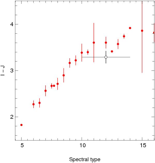
Fig. 5

thumbnail

Ic − JMKO color versus spectral type reproduced from Liebert & Gizis (2006) for late M and L dwarfs. Spectral types 5 to 15 corresponds to M5 to L5. Error bars in the photometry represent the measurement dispersion (rms). Our measurement at the 1-σ confidence level of HD 130948 BC color is shown as open circle.

Current usage metrics show cumulative count of Article Views (full-text article views including HTML views, PDF and ePub downloads, according to the available data) and Abstracts Views on Vision4Press platform.

Data correspond to usage on the plateform after 2015. The current usage metrics is available 48-96 hours after online publication and is updated daily on week days.

Initial download of the metrics may take a while.