Free Access

Fig. 8

thumbnail

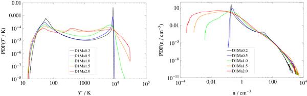
Left: temperature PDFs of simulations with n0 = 1.0 cm-3 and N = 2563. Except for run D1Ma2.0, the PDFs show two maxima in the warm and cold phase. Right: density PDFs for the same runs as in the left panel. The PDFs show a peak around n = 0.2 cm-3 and a plateau around 10 cm-3, which correspond to the WNM and the CNM, respectively.

This figure is made of several images, please see below:

Current usage metrics show cumulative count of Article Views (full-text article views including HTML views, PDF and ePub downloads, according to the available data) and Abstracts Views on Vision4Press platform.

Data correspond to usage on the plateform after 2015. The current usage metrics is available 48-96 hours after online publication and is updated daily on week days.

Initial download of the metrics may take a while.