Free Access

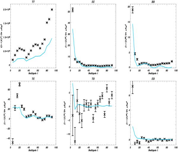
Fig. 7

thumbnail

From left to right and from top to bottom: power spectra ,,,,, at 23 GHz built with the 5-year Wmap data (black) and the model of synchrotron emission with MLS magnetic field for the best fit model parameters, excluding the Galactic region defined by  | b |  < 5°.

Current usage metrics show cumulative count of Article Views (full-text article views including HTML views, PDF and ePub downloads, according to the available data) and Abstracts Views on Vision4Press platform.

Data correspond to usage on the plateform after 2015. The current usage metrics is available 48-96 hours after online publication and is updated daily on week days.

Initial download of the metrics may take a while.