Free Access

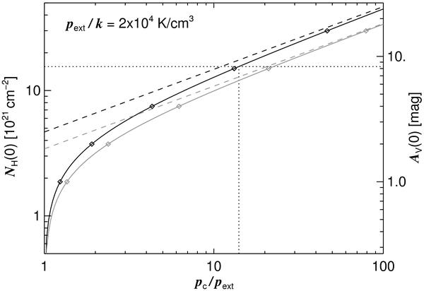
Fig. 1

thumbnail

Column density at the center of a spherical (black) and cylindrical (grey) isothermal self-gravitating cloud as a function of the overpressure pc/pext, where pc is the central pressure and pext is the external pressure. The dashed lines indicates the asymptotic behavior for high overpressure where . The external pressure is assumed to be consistent with the mean pressure of 2  ×  104   K/cm3 in the ISM of the Milky Way (Boulares & Cox 1990). The grey dotted lines show the values for a critical stable sphere with an overpressure of 14.04. The diamonds mark the values considered in the paper and correspond to AV =  [1,2,4,8,16]  mag, where the extinction AV is derived from the column density using the dust-to-gas ratio NH/E(B − V) = 5.8  ×  1021   cm-2/mag (Bohlin et al. 1978) and the absolute to relative extinction RV = 3.1 (Fitzpatrick 1999).

Current usage metrics show cumulative count of Article Views (full-text article views including HTML views, PDF and ePub downloads, according to the available data) and Abstracts Views on Vision4Press platform.

Data correspond to usage on the plateform after 2015. The current usage metrics is available 48-96 hours after online publication and is updated daily on week days.

Initial download of the metrics may take a while.