Free Access

Fig. 13

thumbnail

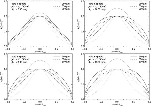
Brightness profiles at 250, 350, and 500   μm. They are compared with the profile of the column density (dotted line). The surface brightness at 250   μm is fitted to a Gaussian source (grey line). The filaments are either confined by a medium with pext/k = 2  ×  104   K/cm3 (top) or 106   K/cm3 (bottom). The extinction through the filaments’ center is either AV = 8   mag or AV = 64   mag (left-hand figure and right-hand figure, respectively).

This figure is made of several images, please see below:

Current usage metrics show cumulative count of Article Views (full-text article views including HTML views, PDF and ePub downloads, according to the available data) and Abstracts Views on Vision4Press platform.

Data correspond to usage on the plateform after 2015. The current usage metrics is available 48-96 hours after online publication and is updated daily on week days.

Initial download of the metrics may take a while.