Free Access

Fig. 2

thumbnail

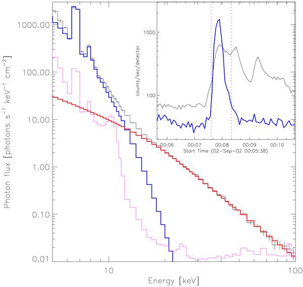
Spectrum of the observed event, fitted with a thermal component (blue) plus a thick target power-law model (red). Purple gives the background level. Inset right-hand corner: Lightcurve of the event at 6–12 keV (thin line) and 25–50 keV (thick line). The dashed lines indicate the observed time interval.

Current usage metrics show cumulative count of Article Views (full-text article views including HTML views, PDF and ePub downloads, according to the available data) and Abstracts Views on Vision4Press platform.

Data correspond to usage on the plateform after 2015. The current usage metrics is available 48-96 hours after online publication and is updated daily on week days.

Initial download of the metrics may take a while.