Free Access

Fig. 4

thumbnail

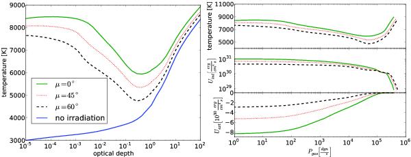
Left: temperature of optical depth for the different zones of a secondary irradiated by a cool white dwarf (see text for details of the model). The lines show the following situations (top to bottom): irradiation at the substellar point (green), at μ = 45° (dotted, red), μ = 60° (dashed, black) and the night-side, i.e. no irradiation (blue) (colour in electronic version only). Right: the structure of the temperature and radiation field in the irradiated atmospheres. The upper panel shows electron temperature Telec, the middle panel the internal radiation flux uH,   int, and the lower panel the external radiation flux uH,   ext. See text for details of the definition of the fluxes. The different zone are marked as in the left panel (colour in electronic version only).

This figure is made of several images, please see below:

Current usage metrics show cumulative count of Article Views (full-text article views including HTML views, PDF and ePub downloads, according to the available data) and Abstracts Views on Vision4Press platform.

Data correspond to usage on the plateform after 2015. The current usage metrics is available 48-96 hours after online publication and is updated daily on week days.

Initial download of the metrics may take a while.