Free Access

Fig. 1

thumbnail

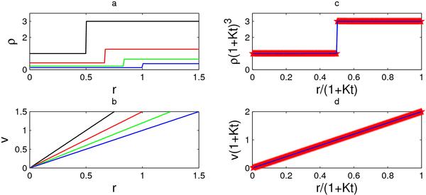
Snapshots of the evolution of the plasma density and velocity field. Panel a) represents the dependence of the plasma density on the radial coordinate for four moments in time; panel b) shows the dependence on the plasma velocity on the radial coordinate for four time moments; panel c) and panel d) illustrate the dependence of the modified density and the modified velocity, respectively, on the self-similar variable. Parameter values for this case are k = 2, B0 = 1, ϱout = 3ϱin, βin = 0.1, βout = 1, and Φ0 = 1. Black line corresponds to t = 0, red line represents the moment t = 0.5/3, green line shows the time moment 1/3, and blue line corresponds to the moment t = 0.5.

Current usage metrics show cumulative count of Article Views (full-text article views including HTML views, PDF and ePub downloads, according to the available data) and Abstracts Views on Vision4Press platform.

Data correspond to usage on the plateform after 2015. The current usage metrics is available 48-96 hours after online publication and is updated daily on week days.

Initial download of the metrics may take a while.