Free Access

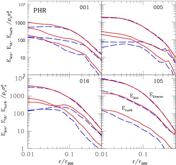
Fig. 16

thumbnail

Final energy density radial profiles constructed from the HR runs of the dynamically perturbed test clusters. Each panel shows: the profile of the thermal energy density Eth = 3kBT(r)ρg(r)/2μmp, the kinetic energy density profile Ekin = ρgu2/2 and the turbulent one ; the turbulent velocity field is defined according to the procedures discussed in sect. 6.2. The profiles are distinguished by the corresponding labels indicated in the bottom right panel and have been rescaled in units of . For the sake of clarity, in each panel only profiles of simulations with two different AV parameters (AV0 and AV4) are shown.

Current usage metrics show cumulative count of Article Views (full-text article views including HTML views, PDF and ePub downloads, according to the available data) and Abstracts Views on Vision4Press platform.

Data correspond to usage on the plateform after 2015. The current usage metrics is available 48-96 hours after online publication and is updated daily on week days.

Initial download of the metrics may take a while.