Free Access

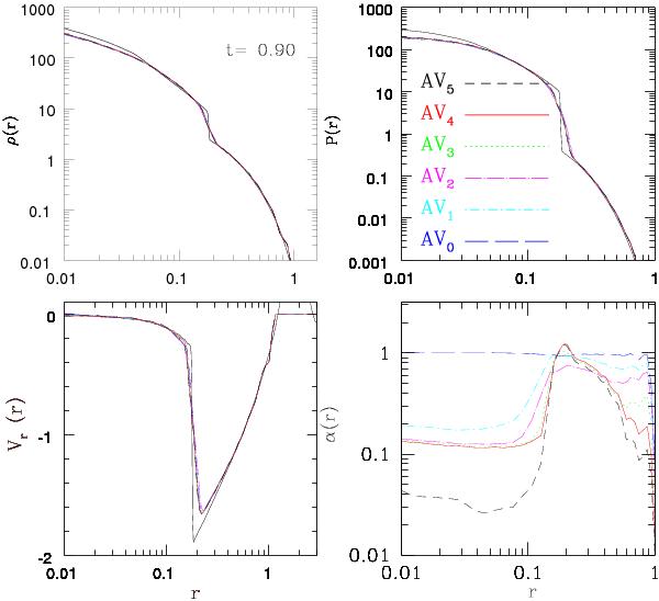
Fig. 3

thumbnail

Results at t = 0.9 for the adiabatic collapse of a cold gas sphere. Clockwise from the top left panel: radial density profiles of density, pressure, viscosity parameter α and radial velocity. The black solid lines are the results of the 1D PPM calculation of Steinmetz & Mueller (1993). SPH runs with different AV parameters are labeled in the same way as in the shock tube test panels of Fig. 1.

Current usage metrics show cumulative count of Article Views (full-text article views including HTML views, PDF and ePub downloads, according to the available data) and Abstracts Views on Vision4Press platform.

Data correspond to usage on the plateform after 2015. The current usage metrics is available 48-96 hours after online publication and is updated daily on week days.

Initial download of the metrics may take a while.