Free Access

Fig. 20

thumbnail

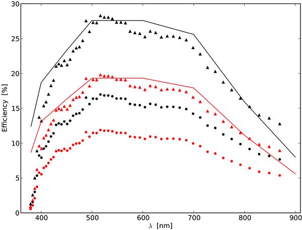
Measured total efficiency of HERMES + Mercator telescope (dots) and efficiency of spectrograph only, including fibres and detector (triangles) for HRF (black) and LRF (red). The solid lines show the calculated spectrograph efficiency.

Current usage metrics show cumulative count of Article Views (full-text article views including HTML views, PDF and ePub downloads, according to the available data) and Abstracts Views on Vision4Press platform.

Data correspond to usage on the plateform after 2015. The current usage metrics is available 48-96 hours after online publication and is updated daily on week days.

Initial download of the metrics may take a while.