Free Access

Fig. 1

thumbnail

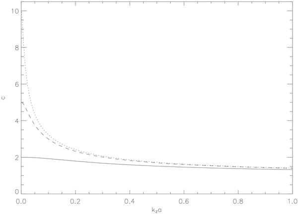
A plot of the wave speed c (in units of cA0) with respect to kza for cAe/cA0 = (ρ0/ρe)1/2 = 2,5, and 10 for the solid, dashed, and dotted curves respectively. The speed c is bounded below by cA0 and above by cAe.

Current usage metrics show cumulative count of Article Views (full-text article views including HTML views, PDF and ePub downloads, according to the available data) and Abstracts Views on Vision4Press platform.

Data correspond to usage on the plateform after 2015. The current usage metrics is available 48-96 hours after online publication and is updated daily on week days.

Initial download of the metrics may take a while.