Free Access

Fig. 10

thumbnail

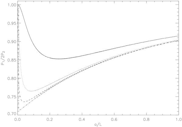
A plot of the period ratio P1/2P2 with respect to a/L for the fast kink mode in a step function slab with for cAe/cA0 = 2,5,10 and 50 for the solid, dotted, dashed and dot-dashed curves respectively.

Current usage metrics show cumulative count of Article Views (full-text article views including HTML views, PDF and ePub downloads, according to the available data) and Abstracts Views on Vision4Press platform.

Data correspond to usage on the plateform after 2015. The current usage metrics is available 48-96 hours after online publication and is updated daily on week days.

Initial download of the metrics may take a while.