Free Access

Fig. 8

thumbnail

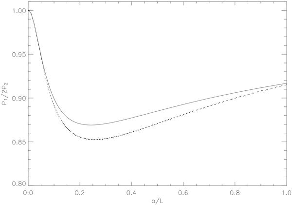
A plot of the period ratio P1/2P2 with respect to a/L for the kink mode with an Epstein profile (solid curve) and for the step function profile (dashed curve) for cAe/cA0 = 2. Beyond a/L = 1, the two curves cross over and later converge together as a/L → ∞.

Current usage metrics show cumulative count of Article Views (full-text article views including HTML views, PDF and ePub downloads, according to the available data) and Abstracts Views on Vision4Press platform.

Data correspond to usage on the plateform after 2015. The current usage metrics is available 48-96 hours after online publication and is updated daily on week days.

Initial download of the metrics may take a while.