Free Access

Fig. 6

thumbnail

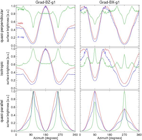
Azimuthal profiles of the synchrotron radio (red), X-ray (blue), and IC γ-ray (green) surface brightness synthesized from runs Grad-BZ-g1 (left; the relevant angles are φB = 90° and φ∇B = 0°) and Grad-BX-g1 (right; φB = 90° and φ∇B = 90°), assuming quasi-perpendicular (top), isotropic (middle), and quasi-parallel (bottom) injection models. The adiabatic index is γ = 5/3. The azimuth is measured counterclockwise from the north (see Figs. 4 and 5). The corresponding azimuthal profiles of Emax used to derive the curves of this figure are in Fig. 3.

Current usage metrics show cumulative count of Article Views (full-text article views including HTML views, PDF and ePub downloads, according to the available data) and Abstracts Views on Vision4Press platform.

Data correspond to usage on the plateform after 2015. The current usage metrics is available 48-96 hours after online publication and is updated daily on week days.

Initial download of the metrics may take a while.