Free Access
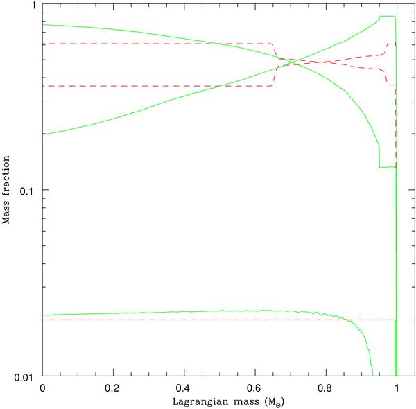
Fig. 1

Chemical profile of the white dwarf at the beginning of the cooling process (red) and the the end of crystallization (green). The three abundances shown for each model belong (from top to bottom at M = 0) to: 16O, 12C, and 22Ne. The mass fraction of 12C in the outermost layer is 0.61 (red line) and 0.86 (green line).
Current usage metrics show cumulative count of Article Views (full-text article views including HTML views, PDF and ePub downloads, according to the available data) and Abstracts Views on Vision4Press platform.
Data correspond to usage on the plateform after 2015. The current usage metrics is available 48-96 hours after online publication and is updated daily on week days.
Initial download of the metrics may take a while.