Free Access

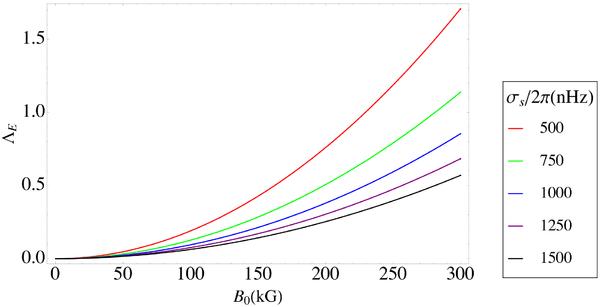
Fig. 4

thumbnail

Elsasser number (ΛE) as a function of the wave frequency in the corotating frame and of the azimuthal magnetic field amplitude at the equator just below the solar tachocline . There and we assume that Ωs/2π = 430   nHz. The upper limit for the amplitude of the magnetic field has been chosen following constraints obtained by Antia et al. (2003).

Current usage metrics show cumulative count of Article Views (full-text article views including HTML views, PDF and ePub downloads, according to the available data) and Abstracts Views on Vision4Press platform.

Data correspond to usage on the plateform after 2015. The current usage metrics is available 48-96 hours after online publication and is updated daily on week days.

Initial download of the metrics may take a while.