Free Access

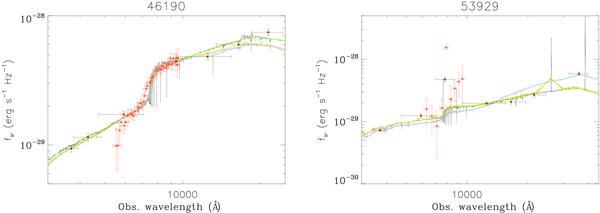
Fig. 1

thumbnail

SEDs and best fit spectra of two galaxies, one with a good  and one with a worse fit. Points are photometric points, from broad-band photometry (brown) and from the grism spectra (red). Error bars in the wavelength direction show the FWHM of the filter with which the point was observed. The grey spectrum is the best fit spectrum from the models, with green, yellow and blue lines showing the spectra convolved with the resolution profile for each galaxy for the 1 SSP, 2 SSP and constant SFR scenarios. LBG_46190 (left) has a  whereas LBG_53929 has a  (right). The brightest of the grism data points in the LBG_53929 SED is due to a strong [OII] emission line.

This figure is made of several images, please see below:

Current usage metrics show cumulative count of Article Views (full-text article views including HTML views, PDF and ePub downloads, according to the available data) and Abstracts Views on Vision4Press platform.

Data correspond to usage on the plateform after 2015. The current usage metrics is available 48-96 hours after online publication and is updated daily on week days.

Initial download of the metrics may take a while.