Free Access

Fig. 2

thumbnail

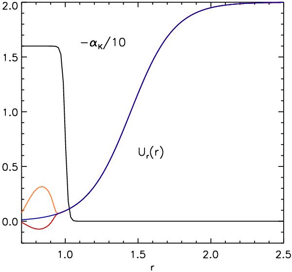
The kinetic alpha effect, αK, and wind radial velocity, Ur, as a function of radial coordinate r for three different latitudes, equator (upper curve), mid-latitude (middle curve) and latitude of upper boundary (lower curve). Note that the curves for the radial velocities differ only in r < 1, where the meridional circulation is non-zero.

Current usage metrics show cumulative count of Article Views (full-text article views including HTML views, PDF and ePub downloads, according to the available data) and Abstracts Views on Vision4Press platform.

Data correspond to usage on the plateform after 2015. The current usage metrics is available 48-96 hours after online publication and is updated daily on week days.

Initial download of the metrics may take a while.