Free Access

Fig. 10

thumbnail

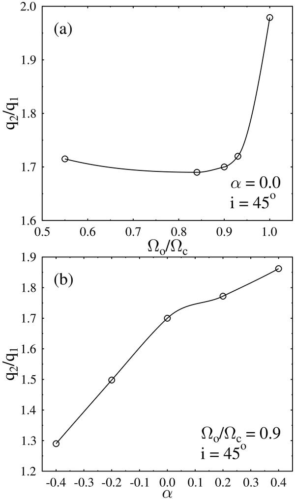
Ratio q2/q1 of the second to the first zero of the Fourier transform of the spectral lines shown in Fig. 9. a) Ratios for line profiles that correspond to stars rotating at different Ωoc, which are affected by gravitational darkening, but without surface differential rotation (α = 0.0). b) Ratios affected by differential rotation and gravitational darkening, as a function of the differential rotation parameter α in stars where Ωoc = 0.9. All relations shown in this figure are for the inclination angle i = 45°.

Current usage metrics show cumulative count of Article Views (full-text article views including HTML views, PDF and ePub downloads, according to the available data) and Abstracts Views on Vision4Press platform.

Data correspond to usage on the plateform after 2015. The current usage metrics is available 48-96 hours after online publication and is updated daily on week days.

Initial download of the metrics may take a while.