Free Access

Fig. 2

thumbnail

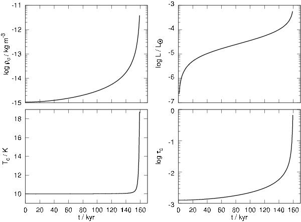
Evolution in Phase 0. We plot the central density ρc (upper left), central temperature Tc (lower left), total luminosity L (upper right), and central optical depth τc (left-hand side of Eq. (14), lower right) of the collapsing cloud.

Current usage metrics show cumulative count of Article Views (full-text article views including HTML views, PDF and ePub downloads, according to the available data) and Abstracts Views on Vision4Press platform.

Data correspond to usage on the plateform after 2015. The current usage metrics is available 48-96 hours after online publication and is updated daily on week days.

Initial download of the metrics may take a while.