Free Access

Fig. B.2

thumbnail

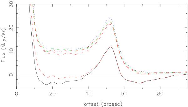
Azimuthally averaged intensity distribution for AQ And at 70 μm when the central star and shell is not masked before the median filtering, and using a “high pass filter width” (HPFW) of 20 (black solid line), The red dashed lines indicate the result if a region of 9.8″ radius around the central star is masked using a HPFW of 20, 100 and 150 (bottom to top). The green dashed-dotted line and the blue dotted line show the results if a region of radius 60″, respectively, 80″ is masked, with a HPFW of 33, respectively 43.

Current usage metrics show cumulative count of Article Views (full-text article views including HTML views, PDF and ePub downloads, according to the available data) and Abstracts Views on Vision4Press platform.

Data correspond to usage on the plateform after 2015. The current usage metrics is available 48-96 hours after online publication and is updated daily on week days.

Initial download of the metrics may take a while.