Free Access

Fig. 3

thumbnail

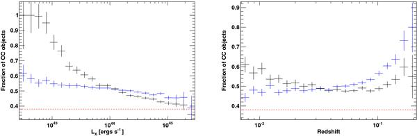
Dependence of the observed fraction of CC objects, cobs, on the 0.1–2.4 keV luminosity (left) and the redshift (right). In both cases, the black or blue data show the simulation results for case I or case II, respectively (see text). The dashed red lines show the input fraction of CC objects, cinp, which was fixed to 0.38 for the simulations.

This figure is made of several images, please see below:

Current usage metrics show cumulative count of Article Views (full-text article views including HTML views, PDF and ePub downloads, according to the available data) and Abstracts Views on Vision4Press platform.

Data correspond to usage on the plateform after 2015. The current usage metrics is available 48-96 hours after online publication and is updated daily on week days.

Initial download of the metrics may take a while.