Free Access

Fig. 2

thumbnail

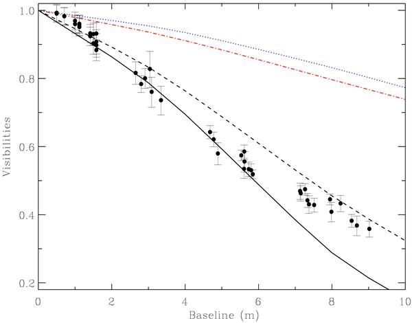
Short-spacing N-band visibilities against baseline for the envelope model of Sect. 3.2 at two perpendicular PAs (full line, and dashed line) compared to data from Monnier et al. (2009). We also indicate the predictions of two dust disk+envelope models that fit the SED only of Sect. 3.1 (blue dotted and red dash-dotted).

Current usage metrics show cumulative count of Article Views (full-text article views including HTML views, PDF and ePub downloads, according to the available data) and Abstracts Views on Vision4Press platform.

Data correspond to usage on the plateform after 2015. The current usage metrics is available 48-96 hours after online publication and is updated daily on week days.

Initial download of the metrics may take a while.