Free Access

Fig. 5

thumbnail

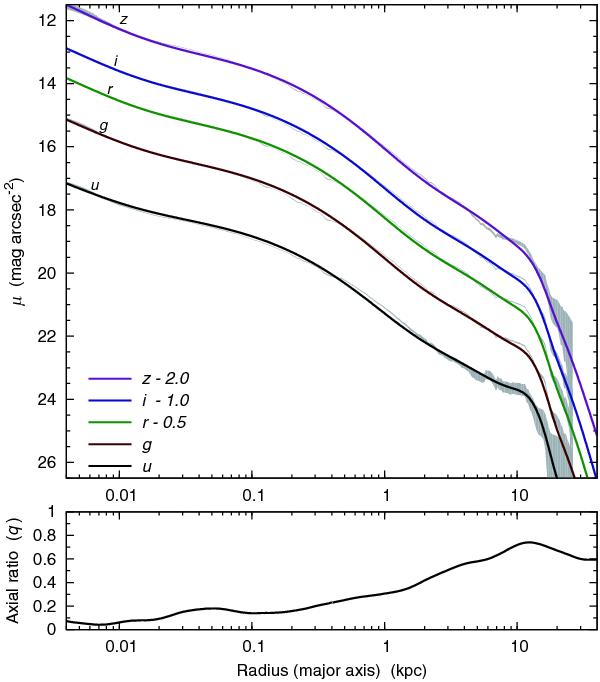
Top panel shows the final model (solid lines) and observed (grey regions) profiles along the major axis in ugriz filters. For clarity, the r,i,z profiles have been shifted by the indicated values. The errors for the model are mainly due to the errors of the observations. Bottom panel shows the observed axial ratio q. The errors from the ellipse fitting for axial ratio q are in order of 0.01.

Current usage metrics show cumulative count of Article Views (full-text article views including HTML views, PDF and ePub downloads, according to the available data) and Abstracts Views on Vision4Press platform.

Data correspond to usage on the plateform after 2015. The current usage metrics is available 48-96 hours after online publication and is updated daily on week days.

Initial download of the metrics may take a while.