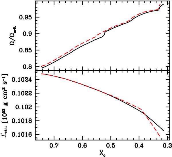
Fig. 10

Top panel: rotation rate as a function of the central hydrogen mass fraction for the isotropic (black solid line) and anisotropic model (red dashed line) with realistic mass-loss rates. The evolution proceeds from left to right. Bottom panel: total angular momentum contained in the star in unit of 1053 g cm2 s-1. The models are represented as in top panel.
Current usage metrics show cumulative count of Article Views (full-text article views including HTML views, PDF and ePub downloads, according to the available data) and Abstracts Views on Vision4Press platform.
Data correspond to usage on the plateform after 2015. The current usage metrics is available 48-96 hours after online publication and is updated daily on week days.
Initial download of the metrics may take a while.