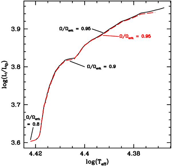
Fig. 6

HR diagram for the isotropic model (black solid line) and anisotropic model (red dashed line) with constant mass-loss rate. The rotation parameter is indicated for some points along the tracks. The end point of the track (on the right) corresponds to the reaching of the first critical velocity.
Current usage metrics show cumulative count of Article Views (full-text article views including HTML views, PDF and ePub downloads, according to the available data) and Abstracts Views on Vision4Press platform.
Data correspond to usage on the plateform after 2015. The current usage metrics is available 48-96 hours after online publication and is updated daily on week days.
Initial download of the metrics may take a while.