Free Access
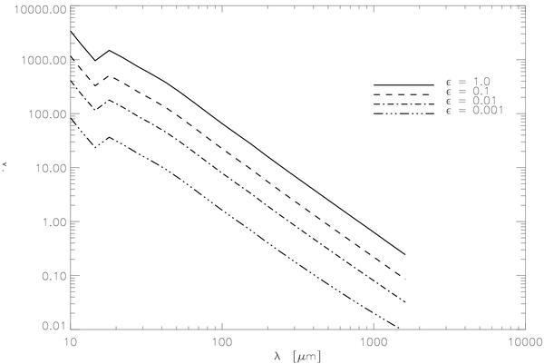
Fig. 6

Optical depth of the fiducial model along a radial path at 85° inclination as a function of wavelength. Unlike the situation in the exact edge-on case (Fig. 5), the optical depth becomes sensitive to the depletion parameter ϵ by typically half an order of magnitude.
Current usage metrics show cumulative count of Article Views (full-text article views including HTML views, PDF and ePub downloads, according to the available data) and Abstracts Views on Vision4Press platform.
Data correspond to usage on the plateform after 2015. The current usage metrics is available 48-96 hours after online publication and is updated daily on week days.
Initial download of the metrics may take a while.