Free Access

Fig. 3

thumbnail

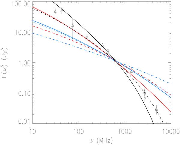
Radio halo spectrum of Coma and the predictions of DM models calculated by assuming B0 = 4.7 μG and B(r) ∝ nth(r)0.5; black lines refer to Mχ = 9 GeV with (solid line; σV = 6.0 × 10-25 cm3 s-1) and τ ±  (dashed line; σV = 1.4 × 10-25 cm3 s-1); red lines refer to Mχ = 60 GeV with (solid line; σV = 1.0 × 10-24 cm3 s-1) and τ ±  (dashed line; σV = 9.0 × 10-25 cm3 s-1); blue lines refer to Mχ = 500 GeV with (solid line; σV = 7.5 × 10-24 cm3 s-1), τ ±  (dashed line; σV = 3.0 × 10-23 cm3 s-1) and W ±  (dotted line; σV = 1.1 × 10-23 cm3 s-1). The results are obtained using NFW smooth DM profiles, without considering the effect of substructures.

Current usage metrics show cumulative count of Article Views (full-text article views including HTML views, PDF and ePub downloads, according to the available data) and Abstracts Views on Vision4Press platform.

Data correspond to usage on the plateform after 2015. The current usage metrics is available 48-96 hours after online publication and is updated daily on week days.

Initial download of the metrics may take a while.