Free Access

Fig. 5

thumbnail

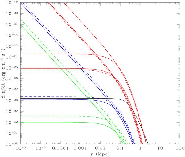
Heating rate induced by DM secondary particles in Coma as predicted by the three DM models with Mχ = 9 GeV, Mχ = 60 GeV and Mχ = 500 GeV for (solid), τ ±  (dashed), W± (dot-dashed) compositions. We consider an NFW DM profile (green, blue, and red peaking curves for 9, 60, and 500 GeV respectively) and a cored DM profile (green, blue and red flattening curves for 9, 60, and 500 GeV respectively). The values of σV and B0 for the different models are the same as those used in Fig. 2. The solid black curve shows the bremsstrahlung cooling rate of the intra-cluster gas at a temperature of 8.2 keV. The results are obtained using B(r) ∝ nth(r) and smooth DM profiles, without considering the effect of substructures.

Current usage metrics show cumulative count of Article Views (full-text article views including HTML views, PDF and ePub downloads, according to the available data) and Abstracts Views on Vision4Press platform.

Data correspond to usage on the plateform after 2015. The current usage metrics is available 48-96 hours after online publication and is updated daily on week days.

Initial download of the metrics may take a while.