Free Access

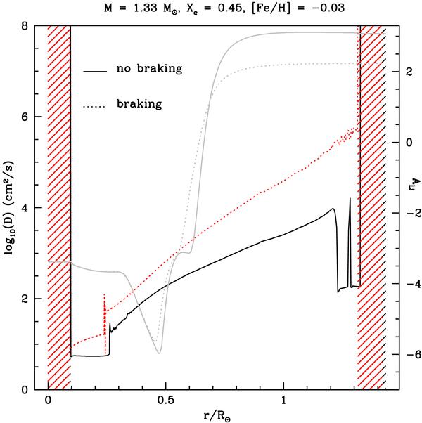
Fig. 8

thumbnail

Internal profiles of ALi(grey) and of the logarithm of the total diffusion coefficient (black) as a function of the radial coordinate in rotating models with initial mass of 1.33 M with (dotted lines) and without (solid lines) braking. The profiles are shown for t ≃ 1.4 Gyr, when the models are on the main sequence (Xc ≃ 0.46). Left ordinates refer to the scale for the diffusion coefficient, while right ordinates represent the scale for the lithium abundance ALi. Hatched regions represent convective zones.

Current usage metrics show cumulative count of Article Views (full-text article views including HTML views, PDF and ePub downloads, according to the available data) and Abstracts Views on Vision4Press platform.

Data correspond to usage on the plateform after 2015. The current usage metrics is available 48-96 hours after online publication and is updated daily on week days.

Initial download of the metrics may take a while.