Free Access

Fig. 15

thumbnail

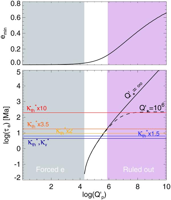
Minimum eccentricity and circularization timescale as a function of tidal dissipation factor . Top panel: eccentricity required to reach a dissipation rate H = 1029   erg   s-1 in the planet. Bottom panel: time to evolve from the minimum eccentricity to the observed e ~ 0.02 for two values of the stellar tidal factor, ∞ (dashed) and 106 (plain). The horizontal lines show the times required for CoRoT-2b to contract from 2 to 1.5 RJ, with the atmospheric boundary conditions as in Fig. 11.

Current usage metrics show cumulative count of Article Views (full-text article views including HTML views, PDF and ePub downloads, according to the available data) and Abstracts Views on Vision4Press platform.

Data correspond to usage on the plateform after 2015. The current usage metrics is available 48-96 hours after online publication and is updated daily on week days.

Initial download of the metrics may take a while.