Free Access

Fig. 5

thumbnail

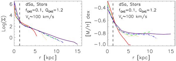
The time evolution of the stellar disk density (left) and metallicity (right) profiles for the dwarf Sa isolated GalMer model. Time outputs and colors are the same as the third row of Fig. 1. This is a low-mass galaxy with a rotation curve of  ~100 km s-1 similar to NGC 300 and M 33. The initial disk scale-length is indicated by the dashed line. The disk extends to over ten scale-lengths in less than 3 Gyr.

Current usage metrics show cumulative count of Article Views (full-text article views including HTML views, PDF and ePub downloads, according to the available data) and Abstracts Views on Vision4Press platform.

Data correspond to usage on the plateform after 2015. The current usage metrics is available 48-96 hours after online publication and is updated daily on week days.

Initial download of the metrics may take a while.