Free Access

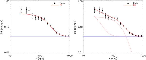
Fig. 8

thumbnail

Chandra surface brightness profile of XMMU J1230.3+1339 (black data points) with the best fitting single (left) and two-component (right) beta models (red solid lines). The background level is indicated by the blue line. The dotted lines in the right panel represent the individual fit components, the inner one includes the background and the outer one is additive.

This figure is made of several images, please see below:

Current usage metrics show cumulative count of Article Views (full-text article views including HTML views, PDF and ePub downloads, according to the available data) and Abstracts Views on Vision4Press platform.

Data correspond to usage on the plateform after 2015. The current usage metrics is available 48-96 hours after online publication and is updated daily on week days.

Initial download of the metrics may take a while.