Free Access

Fig. 3

thumbnail

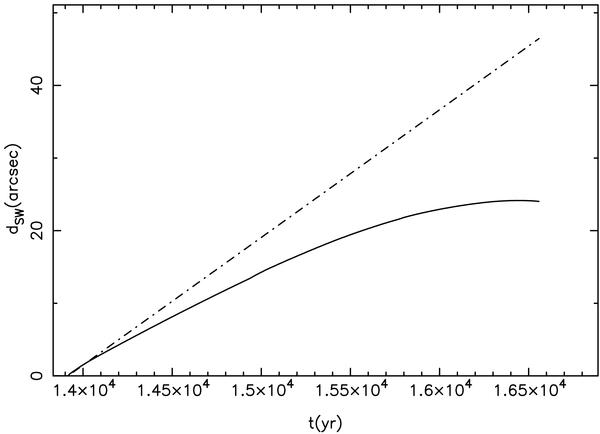
Time evolution of the width dWS of the region between the shock and the wall of the cavity, as computed in the reference model. The dot-dashed line indicates the evolution of dWS for a steady shock with VS = 180   km   s-1.

Current usage metrics show cumulative count of Article Views (full-text article views including HTML views, PDF and ePub downloads, according to the available data) and Abstracts Views on Vision4Press platform.

Data correspond to usage on the plateform after 2015. The current usage metrics is available 48-96 hours after online publication and is updated daily on week days.

Initial download of the metrics may take a while.