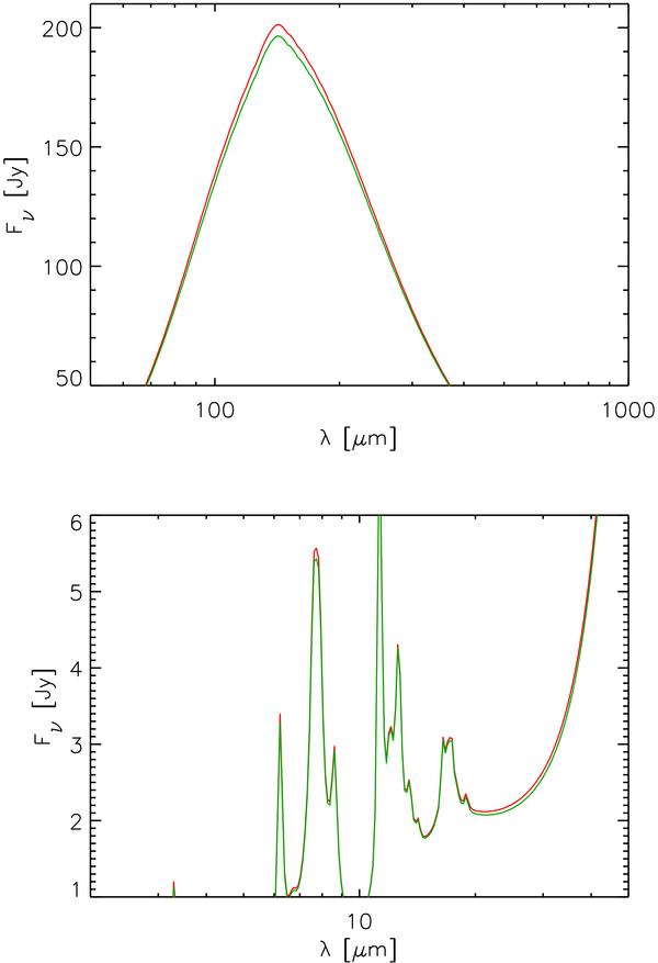
Fig. 14

Comparison between model solutions for dust emission SEDs calculated using different spectral templates for the intrinsic SEDs of the young stellar population in the UV: our standard model (green line) and a model with bluer colours (red line), respectively. The solution is for the best fit of NGC 891. In both cases the the total luminosity of the young stellar population was kept fixed.
Current usage metrics show cumulative count of Article Views (full-text article views including HTML views, PDF and ePub downloads, according to the available data) and Abstracts Views on Vision4Press platform.
Data correspond to usage on the plateform after 2015. The current usage metrics is available 48-96 hours after online publication and is updated daily on week days.
Initial download of the metrics may take a while.