Free Access

Fig.2

thumbnail

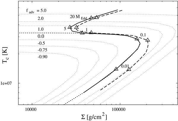
The Tc-Σ plane at r = 20M for a nonrotating BH (a = 0). The dotted lines connect solutions for the vertical structure of slim disks that have the same value of the advection parameter fadv. The locus of standard (radiatively efficient, fadv = 0) disk solutions is shown with the thick dotted line. The solid thick line represents the vertical slim-disk solutions for different accretion rates (indicated by triangles), and the dashed line presents corresponding solutions of the conventional polytropic slim-disk model (see Sect. 5). The difference between the two lines in the low limit corresponds to the difference in Σ between the two models (see Fig. 17).

Current usage metrics show cumulative count of Article Views (full-text article views including HTML views, PDF and ePub downloads, according to the available data) and Abstracts Views on Vision4Press platform.

Data correspond to usage on the plateform after 2015. The current usage metrics is available 48-96 hours after online publication and is updated daily on week days.

Initial download of the metrics may take a while.