Free Access

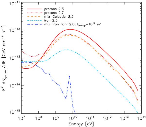
Fig. 3

thumbnail

Photon flux produced by synchrotron emission for different source injections. We chose an “anisotropic” distribution of the magnetic field with normalization B0 = 1 nG. The source has a luminosity of LE,19 = 1042 erg s-1, and is located in the filament described previously, at a distance of 100 Mpc. The average flux integrated over all angular lines of sight are presented.

Current usage metrics show cumulative count of Article Views (full-text article views including HTML views, PDF and ePub downloads, according to the available data) and Abstracts Views on Vision4Press platform.

Data correspond to usage on the plateform after 2015. The current usage metrics is available 48-96 hours after online publication and is updated daily on week days.

Initial download of the metrics may take a while.